関数の極限とは?

本ページでは、関数の極限の定義と基本的な性質(和の極限、積の極限、商の極限、定数倍の極限、合成関数の極限)の丁寧な証明が記されています。
関数の極限と極限値とは?
  関数の極限を表す記号
関数の極限
とは、次の命題が成り立つことを表している。
  すなわち、 任意の正の数 $\epsilon$ に対して、 ある正の数 $\delta$ が存在し、
$$ \tag{1} $$ を満たす全ての $x$ に対して
$$ \tag{2} $$ が成り立つ (下図)。
関数の極限の図
  ここで $\epsilon$ は任意の正の数であるので、 $(2)$ の幅は幾らでも小さくてもよい。 そういう意味で関数の極限は次のように解釈できる。 すなわち、 関数 $f(x)$ を $\alpha$ を中心とするどんな小さな幅の中にも収められるようにする $x=a$ を中心とする 幅 $\delta$ が存在する。
  $(1)$ と $(2)$を書き直すと、それぞれ
であるので、整理して表すと、
が表すところとは、 任意の正の数 $\epsilon$ に対して、
を成り立たせる正の数 $\delta$ が存在することである。 より、簡潔で表すには論理記号を用いて、
とできる。 ここで $\forall$ は「任意の」を表し、$\exists$ は「存在する」を表す。
  この性質を満たす $\alpha$ を関数 $f(x)$ の $x \rightarrow a$ における 極限(値)という。
和の極限
  関数の和の極限は、それぞれの極限値の和に等しい。 すなわち、
和の極限
が成り立つ。
証明
 
であるとする。 極限の定義より、 これは任意の正の数 $\epsilon_{f}$ に対して
$$ \tag{2.1} $$ であるならば、
$$ \tag{2.2} $$ が成り立つ正の数 $\delta_{f}$ が存在する。 また、 任意の正の数 $\epsilon_{g}$ に対して、
$$ \tag{2.3} $$ であるならば、
$$ \tag{2.4} $$ が成り立つある正の数 $\delta_{g}$ が存在する。
  ここで
と $\delta$ を定義すると、
$$ \tag{2.5} $$ であるならば、 $(2.1)$ と $(2.3)$ が成り立つので、 $(2.2)$ と $(2.4)$ と 三角不等式により、
が成り立つ。ここで、
と $\epsilon$ を定義すると、 $\epsilon_{f}$ と $\epsilon_{g}$ は任意の正の数であるので、 $\epsilon$ もまた任意の正の数である。 ゆえに、 任意の正の数 $\epsilon$ に対して、 $(2.5)$ であるならば、
が成り立つ正の数 $\delta$ が存在する。 したがって
である。

積の極限
  関数の積の極限は、それぞれの極限値の積に等しい。 すなわち、
積の極限
が成り立つ。
証明
 
であるとする。 極限の定義より 任意の正の $\epsilon_{f}$ に対して、
$$ \tag{3.1} $$ であるならば、
$$ \tag{3.2} $$ が成り立つ 正の数 $\delta_{f}$ が存在する。 $(3.2)$ は
と表されるので、 $|f(x)|$ は $|\alpha + \epsilon_{f}|$ よりも小さいか、 $|\alpha - \epsilon_{f}|$ よりも小さいかのどちらかである。 したがって、これらのうちの大きい方を $M$ と定義すると、 すなわち、
とすると、
$$ \tag{3.3} $$ が成り立つ。
  一方、
であるとすると、 極限の定義より 任意の正の $\epsilon_{g}$ に対して、
$$ \tag{3.4} $$ であるならば、
$$ \tag{3.5} $$ が成り立つ正の数 $\delta_{g}$ が存在する。
  ここで、 $\delta_{f}$ と $\delta_{g}$ の小さいほうを $\delta$ とすると、
と $\delta$ を定義すると、
$$ \tag{3.6} $$ であるならば、 $(3.1)$ と $(3.4)$ が成り立つので、 $(3.2)$ $(3.3)$ $(3.5)$ と三角不等式により、
$$ \tag{3.7} $$ が成り立つ。 ここで、
と置くと、 $\epsilon_{f}$ と $\epsilon_{g}$ は任意の正の数であるので、 $\epsilon$ もまた任意の正の数である。
  以上から、 任意の正の数 $\epsilon$ に対して、 $(3.6)$ であるならば、
が成り立つ正の数 $\delta$ が存在する。 よって、
である。

商の極限
  関数の商の極限は、それぞれの極限値の商に等しい。 すなわち、
商の極限
が成り立つ。 ただし、$\beta \neq 0$ とする。
証明
 
であるとする。 極限の定義より、 任意の正の $\epsilon_{g}$ に対して、
$$ \tag{4.1} $$ であるならば、
$$ \tag{4.2} $$ が成り立つ正の数 $\delta_{g}$ が存在する。 $(4.2)$ は
と表されるので、 $|g(x)|$ は $|\beta - \epsilon_{g}|$ よりも大きいか、 $|\beta + \epsilon_{g}|$ よりも大きいかのどちらかである。 したがって、 これらのうちの小さい方を $L$ と定義すると、 すなわち、
とすると、
$$ \tag{4.3} $$ が成り立つ。
  これらを踏まえて初めに
を証明する。 $(4.1)$ であるならば、 $(4.3)$ と $(4.2)$ を満たす $\delta_{g}$ が存在する。 これより、 $(4.1)$ であるならば、
$$ \tag{4.4} $$ が成り立つ $\delta_{g}$ が存在することになる。 ここで、
と定義すると、 $\epsilon_{g}$ が任意の正の数であるので、 $\epsilon$ もまた任意の正の数である。 したがって、 任意の正の数 $\epsilon$ に対して、 $(4.1)$ であるならば、
が成り立つ正の数 $\delta_{g}$ が存在することになる。 よって、
$$ \tag{4.5} $$ である。
  続いて
を証明する。 $(4.5)$ において
$$ \tag{4.6} $$ と表すと、
である。 ここで
が成り立つとすると、 関数の積の極限の性質より、
である。したがって、
である。

定数倍の極限
  関数の定数倍の極限は、極限値の定数倍に等しい。 すなわち、
定数倍の極限
が成り立つ。
証明
であるとする。 極限の定義より、 これは 任意の正の数 $\epsilon$ に対して、
$$ \tag{5.1} $$ であるならば
が成り立つ正の数 $\delta$ が存在することを表している。 これより、 $(5.1)$ ならば
が成り立つ。
と置くと、 $\epsilon$ が任意の正の数であるので、 $\epsilon_{C}$ もまた任意の正の数である。
  ゆえに、 任意の正の数 $\epsilon_{C} $ に対して、 $(5.1)$ であるならば、
が成り立つ正の数 $\delta$ が存在することになる。 したがって、
である。

合成関数の極限
  関数 $f$ と関数 $g$ の合成関数を $h$ とする。 すなわち、
とする。このとき、
合成関数の極限
が成り立つ。
証明
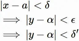
  関数の極限の定義より
であるとは、次の命題が成り立つことである。 すなわち、 任意の正の数 $\epsilon$ に対して、 \begin{eqnarray} |x-a| \lt \delta \hspace{1mm} \Longrightarrow \hspace{1mm} |f(x) - \alpha | < \epsilon& \end{eqnarray} を成り立たせる正の数 $\delta$ が存在する。 $y=f(x)$ とすると、次のように表される。 すなわち、 任意の正の数 $\epsilon$ に対して、
$$ \tag{1} $$ を成り立たせる正の $\delta$ が存在する。
  さて、
も同様に次のように表される。 すなわち、 任意の正の数 $\epsilon'$ に対して、
$$ \tag{2} $$ を成り立たせる正の数 $\delta'$ が存在する。 ここで $(1)$ が任意の正の $\epsilon$ に対して成り立つことから、 $(1)$ は $ \epsilon \lt \delta' $ を満たす $\epsilon$ に対しても成り立つ。 すなわち、 $ \epsilon \lt \delta' $ を満たす正の数 $\epsilon$ に対して
を成り立たせる正の $\delta$ が存在する。 すると、この $\delta$ と $(2)$ で与えた $\delta'$ に対して、
が成り立つ。 これと $(2)$ から 任意の正の数 $\epsilon'$ に対して、
を満たす 正の数 $\delta$ が存在することが示される。 この関係は、 $g(y)=g(f(x)) = h(x)$ を用いると、 次のように表される。 すなわち、 任意の正の数 $\epsilon'$ に対して、
を満たす 正の数 $\delta$ が存在する。このことは 関数の極限の定義から
と表される。