部分積分とは?    

本ページでは、部分積分の証明を丁寧に行い、 簡単な具体例が添えられています。
具体例
- 例題
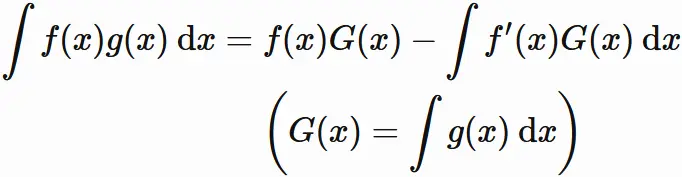
部分積分 (不定積分)
  微分可能な関数 $G(x)$ の微分を $g(x)$ とすると、 $G(x)$ は $g(x)$ の不定積分
である。 $f(x)$ を微分可能であるとすると、$f(x)g(x)$ の不定積分は、
部分積分(不定積分)
を満たす。これを部分積分という。
証明
  積の微分の性質不定積分の定義から
が成り立つ。よって、不定積分の定義により
である。

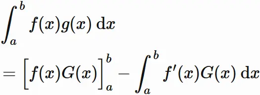
部分積分 (定積分)
  微分可能な関数 $G(x)$ の微分を $g(x)$ とすると、 $G(x)$ は $g(x)$ の不定積分
である。 $f(x)$ を微分可能であるとすると、 $f(x)g(x)$ の定積分は
部分積分法
を満たす。 この性質を利用して定積分値を求めることを部分積分法という。
証明
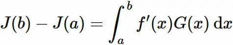
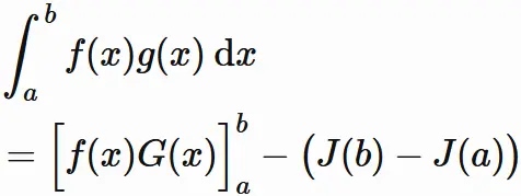
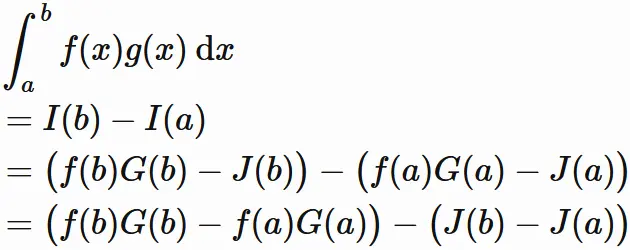
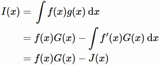
  $f(x)g(x)$ の不定積分を $I(x)$ とする。
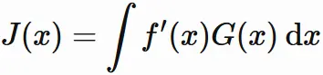
また、$f'(x)G(x)$ の不定積分を $J(x)$ とする。
$$ \tag{1} $$ $I(x)$ は不定積分の部分積分と $(1)$ より、
と表せる。 これと定積分の不定積分による表現から
ここで
と表すことにすると、
であるが、$(1)$ と定積分の不定積分による表現から
であるので、
を得る。

例題
(i)   次の不定積分を部分積分を用いて求めよ。
部分積分例題1

(ii)   次の定積分を部分積分を用いて求めよ。
部分積分例題2

証明
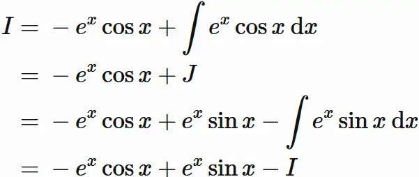
(i)
とする。 $f(x) = e^{x}$、 $g(x) = \sin x$ として、 部分積分
$$ \tag{1} $$ を適用する。
であるので (不定積分の定義を参考)、
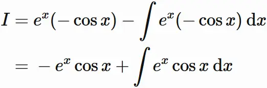
$$ \tag{2} $$ である。ここで 第二項の積分を
$$ \tag{3} $$ とし、 $f(x) = e^{x}$、 $g(x) = \cos x$ として、 再び部分積分 $(1)$ を適用すると、
であるので
$$ \tag{4} $$ である。以上 $(2)$ $(3)$ $(4)$ より、
であるので、
である。

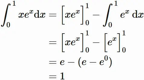
(ii) $f(x) = x$、 $g(x) = e^{x}$ として、 部分積分
を適用すると、 \begin{eqnarray} f'(x) &=& 1 \\ G(x) &=& e^{x} \\ (\because G'(x) &=& e^{x} = g(x)) \end{eqnarray}
であるので
である。