合成関数の微分とは?

本ページでは、合成関数の微分の公式の丁寧な証明と、簡単な具体例が記されています。
合成関数の微分
  関数 $x(t)$ が $t$ の区間 $I$ で微分可能であるとする。 また、関数 $f(x)$ が $x$ の区間 $J$ で微分可能であるとする。 このとき、
合成関数の微分
が成り立つ。これを合成関数の微分という。
証明
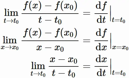
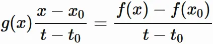
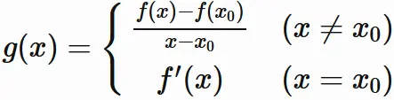
  はじめに、
とする。また
$$ \tag{1} $$ とする。このとき、
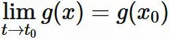
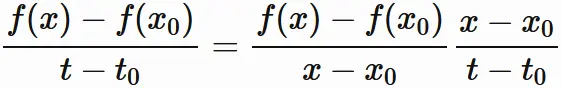
$$ \tag{2} $$ が成り立つので、 $g(x)$ は連続である。 また、 $(1)$ より
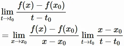
であるので、 $t \neq t_{0}$ の場合
が成り立つが、 これと積の極限の性質から
$$ \tag{3} $$ が成り立つ。
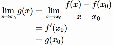
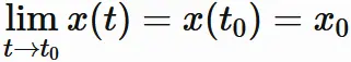
  ここで、 $x(t)$ が微分可能であることから、 $x(t)$ は連続関数であるため (「微分可能⇒連続」を参考)、
であることと $(2)$ から、合成関数の極限の性質により、
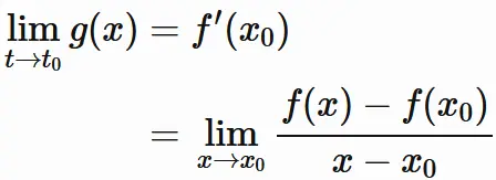
が成り立つ。 これと $(1)$ より、
である。これを $(3)$ に代入すると、
を得る。 導関数の定義から
であるので、
を得る。ここで $x(t_{0})=x_{0}$ であるが、 この部分を明示的に記述しないように表すと、
である。

補足
  素直に考えると、
と表して、両辺の極限をとれば、合成関数の微分の公式を得られるが、 上式は $x=x_{0}$ の場合に表せないので、上のような手のかかる証明を展開している。

具体例
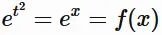
(1)   $ e^{t^{2}}$ を $t$ で微分せよ。

(2)   $ \cos (\sin t)$ を $t$ で微分せよ。

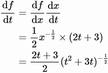
(3)   $ \sqrt{t^{2}+3t }$ を $t$ で微分せよ。
証明
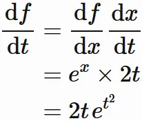
(1)   $t^{2} = x$ とし、$f(x) = e^x$ とすると、
である。 そこで合成関数の微分の公式を用いると、
合成関数の微分の例
を得る。

(2)   $ \sin t = x$ とし、$f(x) = \cos x$ とすると、
である。 そこで合成関数の微分の公式を用いると、
を得る。

(3)   $ t^{2}+3t = x$ とし、$f(x) = \sqrt{x}$ とすると、
である。 そこで合成関数の微分の公式を用いると、
を得る。